以半导体材料为核心的现代电子技术取得了举世瞩目的成绩,给人类社会发展带来了极大方便。然而,伴随着电子器件尺寸的进一步缩小和集成程度的不断提升,半导体芯片的瓶颈越发严重。同时,以模拟人类大脑信息处理模式而催生的人工智能对半导体芯片的数据处理能力提出了超级挑战。有别于半导体器件中的电子信号,人脑信息的处理则基于复杂的离子和电子同时参与的物质输运过程。因此,揭示离子电荷与电子电荷耦合输运的基本规律,通过人工操控两种电荷之间的相互作用与输运过程以构筑新型纳米电子器件具有重要的科学意义和较高的应用价值。


近日,做爱自拍
做爱自拍
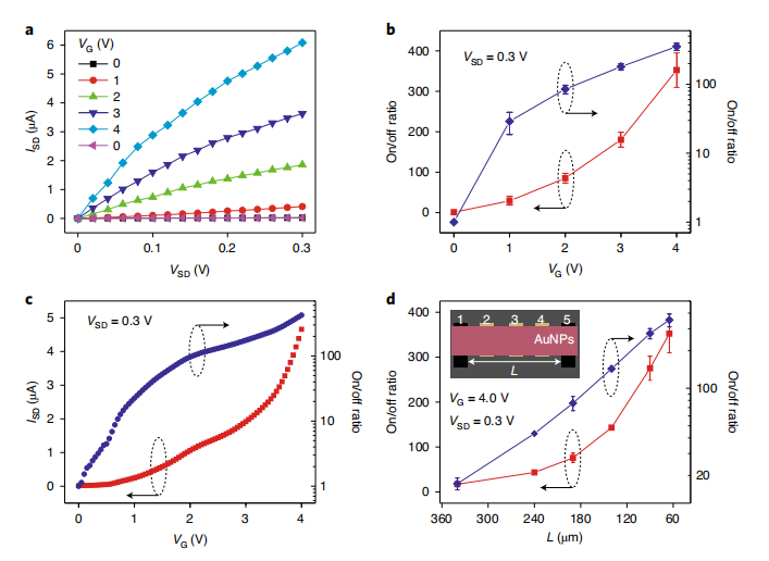
李铁虎教授团队与中国科学院国家纳米科学中心鄢勇研究员、韩国蔚山科技大学(UNIST)Bartosz Grzybowski教授等人合作,采用碳材料作为电极实现了显著的电荷浓度梯度分布,通过器件结构的进一步优化,设计并构筑了一种五电极结构的金属纳米颗粒薄膜晶体管,其中三个门电极高度对称,不仅可以降低漏电流,而且能使门电压有效地调控源漏电极之间的输出。然而,这种调控现象在不带电的纳米颗粒薄膜中未能观测到,同时,器件的性能可以通过降低沟道尺寸得以优化,在65mm线宽下,晶体管的开关比达到400左右。其次,通过监测对离子的浓度分布(EDS)与纳米颗粒薄膜的表面电势(KFM),结合理论模拟(能斯特-普朗克方程与泊松方程),重现了所有的实验结果。更重要的是,基于该晶体管可以构筑非门,结合纳米颗粒二极管与电阻,实现了与门、或门、与非门、或非门等基本逻辑,集成实现了全金属纳米颗粒半加器的逻辑输出。最后需要指出的是,有别于半导体晶体管,金属纳米颗粒器件能够抵抗高电压静电(10 kV)的损伤,使电子器件保持较高的稳定性。

目前,相关研究成果以“Transistors and logic circuits based on metal nanoparticles and ionic gradients)”为标题发表发表在Nature Electronics(DOI:10.1038/s41928-020-00527-z)上(李铁虎教授指导的博士生赵星为第一作者,做爱自拍
为第一单位)。该工作得到了国家自然科学基金、中国科学院战略性先导科技专项(B类)、中科院“百人计划”等项目的支持。
文章链接://www.nature.com/articles/s41928-020-00527-z

李铁虎教授是做爱自拍
特种碳材料课题组的负责人,陕西省石墨烯新型炭材料及应用工程实验室主任。所在课题组多年来主要从事新型炭-石墨及其复合材料的基础研究和应用研究,对石墨烯及其复合材料的制备工艺、性能及应用进行了深入系统的研究。先后承担了国家级项目30多项,获省部级一、二、三等奖4项,获国家教学成果一等奖及陕西省教学成果特等奖各1项,其研究成果2次被《中国科学报》专题报道,并在多家企业获得应用,产生了良好的经济效益和社会效益。目前已发表论文300多篇(包括Nature、Nature Communications、Science Advances、Advanced Materials、Journal of the American Chemical Society、ACS Nano、Advanced Functional Materials等国际著名期刊),其中SCI收录200余篇,影响因子最高IF=41.577,单篇他引次数最高350次。已培养出博士后7人,博士生53人,硕士生106人。李铁虎教授还兼任国务院学科评议组成员,教育部教学指导委员会委员、“国家石墨烯产品质量监督检验中心”学术委员会委员、“陕西省石墨烯新型炭材料及应用工程实验室”主任、“陕西省石墨烯联合实验室”学术委员会委员、中国金属学会《炭素材料》副主编、中国科学院《新型炭材料》编委、中国电工技术学会《炭素》编委、《交通运输工程学报》编委。